Leg MV Fenders
Leg fenders, also known as MV type fenders, are another type of marine fender that is commonly used to protect the hulls of ships and other vessels.
Leg MV Fenders are high-performance modular rubber fender units specifically designed for structures where space is limited but high energy absorption is required. With a unique vertical leg design, these fenders offer exceptional compression and shear resistance, making them highly suitable for RoRo berths, ferry terminals, offshore platforms, and pontoon systems. The MV series provides a balance between performance and versatility, especially in retrofit or upgrade projects.
Key Features
Compact & Modular Design: Ideal for narrow structures or low-clearance berths
High Energy Absorption with Low Reaction Force: Protects vessels and quay structures efficiently
Excellent Shear Resistance: Withstands repeated berthing impact and tidal movements
Interchangeable Units: Easy to install, maintain, or replace individually without major downtime
Available with UHMW-PE Pads: Minimizes hull friction and wear, enhances durability
Typical Applications
RoRo and ferry terminals
Offshore platforms
Floating pontoons and dolphins
Barge landing points
Tight-berth retrofit installations
Why Choose Hongruntong Marine?
At Hongruntong Marine, we deliver fender systems that are trusted globally for their quality, reliability, and performance.
Customization for Every Project – We tailor the size, hardness, and mounting style of Leg MV Fenders to meet specific site requirements.
Certified Materials – All fenders are manufactured using premium-grade natural or synthetic rubber compounds, tested under ISO and PIANC standards.
Global Project Experience – With installations in over 80 countries, we understand diverse operating conditions.
Turnkey Solutions – From design and production to inspection and delivery, we offer full project support.
6-Year Warranty – Peace of mind with long-term quality assurance.
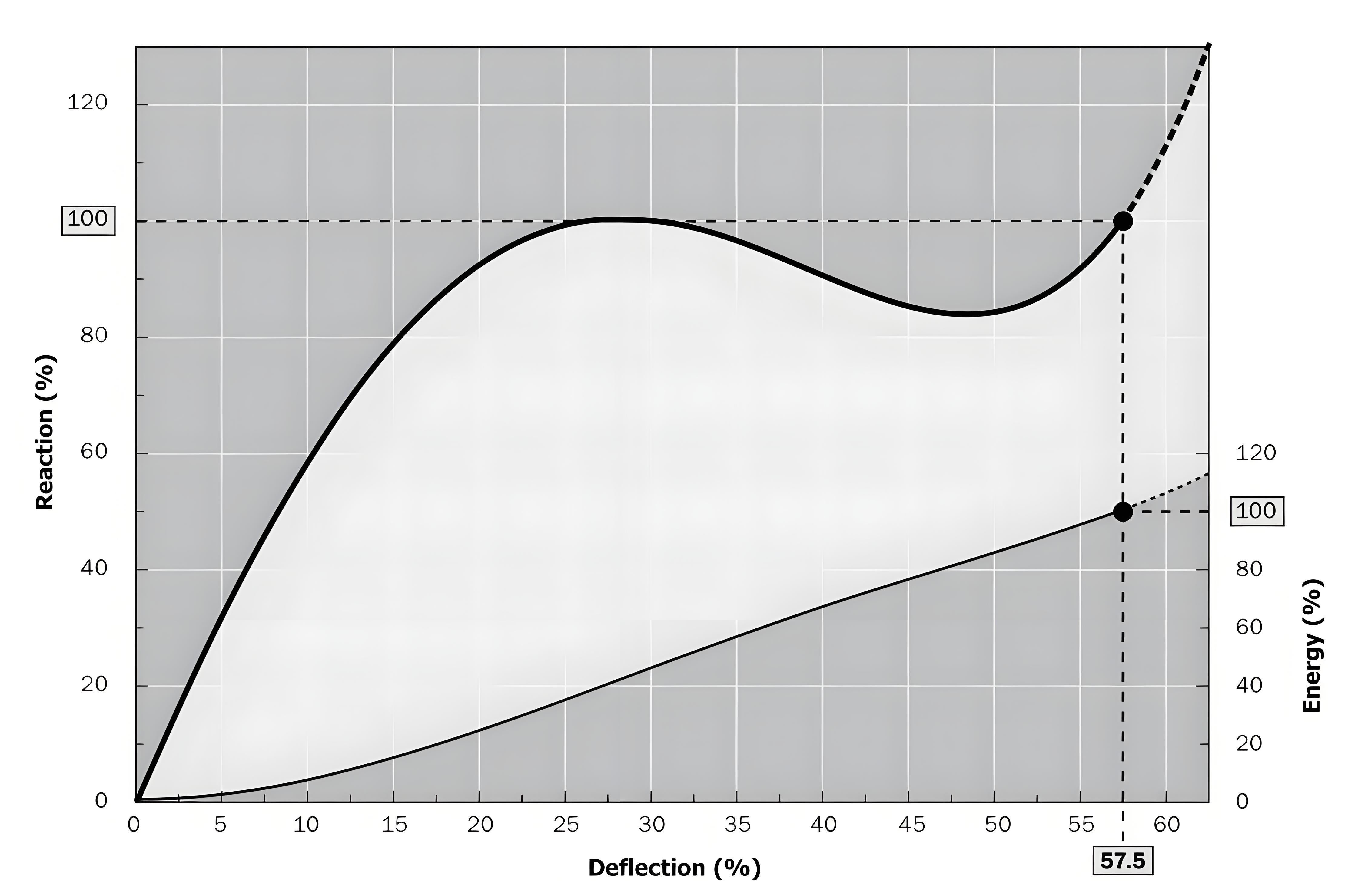
Generic Performance Curve
Specifications
Model | L | B | C | F | G | J | T | Anchors / Head Bolts |
HOLES |
HM-MV300 | 600 | 150 | 300 | 94 | 93 | 47 | 17-26 | M20 | 2 + 2 |
900 | 3 + 3 | ||||||||
1200 | 4 + 4 | ||||||||
1500 | 5 + 5 | ||||||||
HM-MV400 | 750 | 125 | 500 | 125 | 124 | 63 | 17-26 | M24 | 2 + 2 |
1000 | 250 | 2 + 2 | |||||||
1500 | 3 + 3 | ||||||||
2000 | 4 + 4 | ||||||||
2500 | 5 + 5 | ||||||||
3000 | 6 + 6 | ||||||||
HM-MV500 | 750 | 125 | 500 | 158 | 142 | 87 | 17-26 | M30 | 2 + 2 |
1000 | 250 | 2 + 2 | |||||||
1500 | 3 + 3 | ||||||||
2000 | 4 + 4 | ||||||||
2500 | 5 + 5 | ||||||||
3000 | 6 + 6 | ||||||||
HM-MV550 | 750 | 125 | 500 | 172 | 170 | 87 | 18-27 | M30 | 2 + 2 |
1000 | 250 | 2 + 2 | |||||||
1500 | 3 + 3 | ||||||||
HM-MV600 | 750 | 125 | 500 | 188 | 199 | 87 | 18-28 | M30 | 2 + 2 |
1000 | 250 | 2 + 2 | |||||||
1500 | 3 + 3 | ||||||||
HM-MV750 | 750 | 125 | 500 | 235 | 230 | 118 | 22-32 | M36 | 2 + 2 |
1000 | 250 | 2 + 2 | |||||||
1500 | 3 + 3 | ||||||||
HM-MV800 | 800 | 150 | 500 | 250 | 240 | 129 | 22-32 | M36 | 2 + 2 |
1000 | 250 | 2 + 2 | |||||||
1500 | 3 + 3 | ||||||||
2000 | 4 + 4 | ||||||||
HM-MV1000 | 800 | 150 | 500 | 322 | 310 | 162 | 28-40 | M42 | 2 + 2 |
850 | 175 | 2 + 2 | |||||||
900 | 200 | 2 + 2 | |||||||
950 | 225 | 2 + 2 | |||||||
1000 | 250 | 2 + 2 | |||||||
1050 | 275 | 2 + 2 | |||||||
1100 | 300 | 2 + 2 | |||||||
1150 | 325 | 2 + 2 | |||||||
1200 | 350 | 2 + 2 | |||||||
1500 | 250 | 3 + 3 | |||||||
2000 | 4 + 4 | ||||||||
HM-MV1250 | 800 | 150 | 500 | 401 | 388 | 202 | 35-47 | M48 | 2 + 2 |
850 | 175 | 2 + 2 | |||||||
900 | 200 | 2 + 2 | |||||||
950 | 225 | 2 + 2 | |||||||
1000 | 250 | 2 + 2 | |||||||
1050 | 275 | 2 + 2 | |||||||
1100 | 300 | 2 + 2 | |||||||
1150 | 325 | 2 + 2 | |||||||
1200 | 350 | 2 + 2 | |||||||
1250 | 375 | 2 + 2 | |||||||
1500 | 250 | 3 + 3 | |||||||
2000 | 4 + 4 | ||||||||
HM-MV1450 | 900 | 200 | 500 | 454 | 445 | 228 | 35-50 | M48 | 2 + 2 |
1000 | 250 | 2 + 2 | |||||||
1100 | 300 | 2 + 2 | |||||||
1200 | 350 | 2 + 2 | |||||||
1500 | 250 | 3 + 3 | |||||||
2000 | 4 + 4 | ||||||||
HM-MV1600 | 1000 | 250 | 500 | 507 | 480 | 261 | 45-50 | M56 | 2 + 2 |
1100 | 300 | 2 + 2 | |||||||
1200 | 350 | 2 + 2 | |||||||
1500 | 250 | 3 + 3 | |||||||
2000 | 4 + 4 |
Detailed Photos